Skip to content
  • About
    • Pre-Retire
    • Board & Committees
  • Docs & Forms
  • Benefits
  • Healthcare
  • Websites
  • Newsletters
  • PACE
  • VOTE
  • Join Now

Recent Posts

  • Educator Legislators
  • NIRS 2026
  • Rebecca Paul, Read Across America
  • Read Across America Week, 2026
  • NEA-Alaska/Retired & NEA-Alaska 2026 Election Results

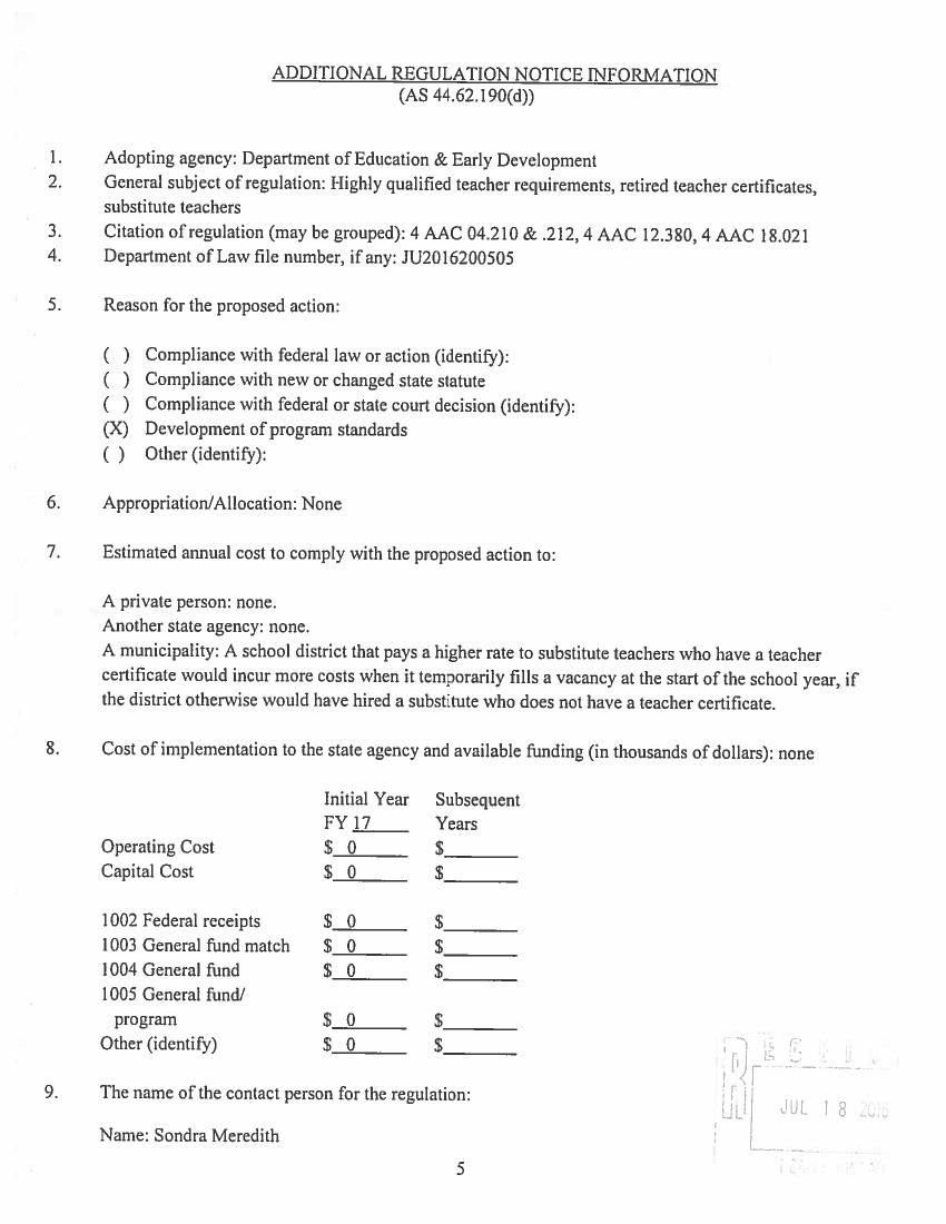
Notice of Proposed Changes to Teacher Qualifications, Retired Teacher Certificates, and Substitute Teaching in the Regulations of the Department of Education and Early Developent

July 28, 2016

Z.jpg2Q==.jpgZ-1.jpgZ-2.jpg2Q==-1.jpgZ-3.jpg

Share this:

  • Share on X (Opens in new window) X
  • Share on Facebook (Opens in new window) Facebook
Like Loading…
Posted in Uncategorized
←NEA-Alaska/Retired – Delegate Assembly Elections
Please Note: Some Retirees May Be Automatically Enrolled in Medicare Advantage Plans→

Blog at WordPress.com.

 

Loading Comments...
 

You must be logged in to post a comment.

    • Reblog
    • Subscribe Subscribed
      • NEA-Alaska/Retired
      • Already have a WordPress.com account? Log in now.
      • NEA-Alaska/Retired
      • Subscribe Subscribed
      • Sign up
      • Log in
      • Copy shortlink
      • Report this content
      • View post in Reader
      • Manage subscriptions
      • Collapse this bar
    %d